- Start
- Aktivitäten
- Rätseldesign
- Rätselstationen
- Über uns
- Partner
- Veröffentlichungen
- Datenschutzerklärung
- Impressum
- Start
- Aktivitäten
- Rätseldesign
- Rätselstationen
- Über uns
- Partner
- Veröffentlichungen
- Datenschutzerklärung
- Impressum
Chemystery: Nachhaltige Chemie in Rätseln
Chemischer Hintergrund Weichmacher: Weichmacher sind chemische Stoffe, die Materialien zugesetzt werden, um sie weicher, biegsamer oder dehnbarer zu machen. Sie werden häufig Kunstoffen beigemischt, um sie flexibler und einfacher zu verarbeiten. Sie wirken, indem sie die Zwischenräume in der Struktur von Materialien füllen. Dadurch werden die Moleküle beweglicher. Besonders in Weich-PVC (Polyvinylchlorid) machen Weichmacher den …
Chemischer Hintergrund Wasserqualität: Sauberes Wasser ist eine der wichtigsten Grundlagen für das Leben auf der Erde. Es wird nicht nur von Menschen genutzt, sondern ist auch wichtig für die Natur und für industrielle Prozesse. Damit Wasser als Trinkwasser geeignet ist, muss es bestimmte Qualitätsstandards erfüllen, die von Organisationen wie der Weltgesundheitsorganisation (WHO) festgelegt werden. Einige …
Chemischer Hintergrund Polymerisation: Wenn zwei Milchsäuremoleküle miteinander reagieren, verbindet sich die Hydroxylgruppe (-OH) eines Milchsäuremoleküls mit der Carboxylgruppe eines anderen Milchsäuremoleküls. Dabei entsteht ein Ring, der Lactid genannt wird, und es wird Wasser (H20) frei. Wenn man die Mischung erhitzt, öffnen sich diese Lactid-Ringe. Die geöffneten Ringe können dann miteinander reagieren und lange Ketten bilden. …
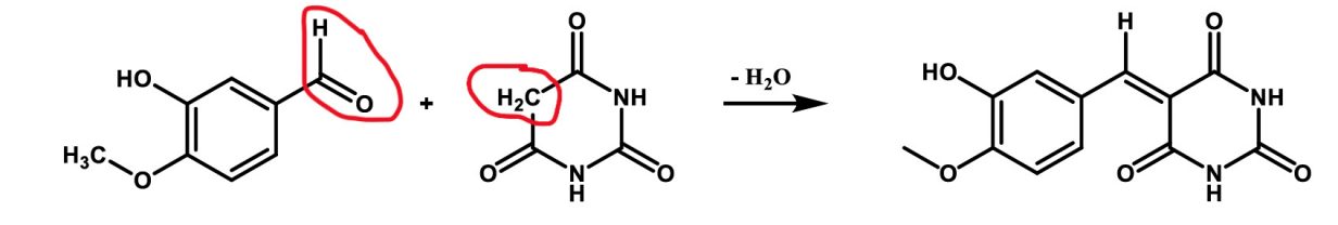
Chemischer Hintergrund Polykondensation: Die Polykondensation ist eine chemische Reaktion, bei der sich Moleküle zu sehr großen Molekülen, sogenannten Polymeren oder Makromolekülen, verbinden. Dabei entstehen kleine Moleküle, wie zum Beispiel Wasser. Diese Reaktion läuft schrittweise ab, wobei sichZwischenprodukte bilden, die noch weiter reagieren können. Polyester: Polyester sind Kunststoffe, die wir im Alltag überall finden. Ein Ester …
Chemischer Hintergrund Bedeutung des CO2 – Gehalts: C02 (Kohlendioxid) ist ein Gas, das in der Erdatmosphäre nur in kleinen Mengen vorkommt, aber eine sehr wichtige Rolle spielt. Es hilft, die Wärme auf der Erde zu halten, und macht unser Klima lebensfreundlich. Wenn allerdings zu viel C02 in die Atmosphäre gelangt – zum Beispiel durch die …